
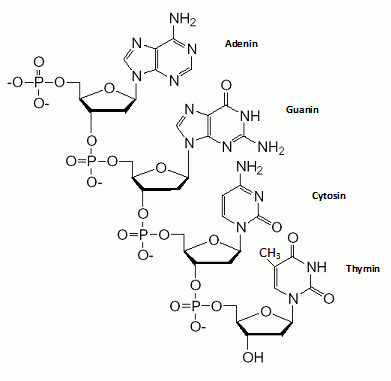
Ausschitt aus dem Einzelstrang der DNA, mit den vier Basen A, G, C und T.
Der Genetische Code
Vier-Buchstaben-Alphabet
- Nach dem Modell von Watson und Crick muss Information der DNA in der linearen Abfolge ihrer Moleküle liegen
- jedes Nukleotid kann als Buchstabe eines 4-Buchstaben-Alphabets angesehen werden
- bei n Nukleotiden pro Sinneinheit („Wort“) gibt es 4n mögliche Kombinationen (Wörter)
n = 2 → 16 (zu wenig)
n = 3 → 64 (zu viel → degenerierter Code) - ein Säuger besitzt 1 m DNA (3 x 109 Nukleotide = 3 Mrd.)
- die Information einer tierischen Zelle füllt ein Buch mit 500.000 Seiten
- obwohl das Prinzip der Informationsspeicherung einfach erscheint, ist der Ablauf des Kopiervorganges kompliziert und benötigt viele Enzyme und Reaktionen

„Codesonne“: Zuordnung der Codons zu den entsprechenden Aminosäuren.